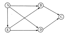
下图所示为一有向图,试给出该图的邻接表表示及对该图进行拓扑排序的各种可能的拓扑序列。
【正确答案】:
【答案】该有向图的邻接表为:
各种可能的拓扑排序序列为:AEDBC;AEBDC
解析:邻接表是顺序存储和链式存储相结合的方法。
拓扑排序的步骤:①选择入度为0的结点输出;②删除有关的结点和边;③重复以上步骤。
下图所示为一有向图,试给出该图的邻接表表示及对该图进行拓扑排序的各种可能的拓扑序列。
【答案】该有向图的邻接表为:
各种可能的拓扑排序序列为:AEDBC;AEBDC
解析:邻接表是顺序存储和链式存储相结合的方法。
拓扑排序的步骤:①选择入度为0的结点输出;②删除有关的结点和边;③重复以上步骤。