首页
假设某个电文由5个字母a,b,c,d,e组成,每个字母在电文中出现的次数为7,9,5,6,12,试为这5个字母设计哈夫曼树并写出
2024-11-07 07:44:03
数据结构(13181)
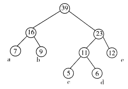
假设某个电文由5个字母a,b,c,d,e组成,每个字母在电文中出现的次数为7,9,5,6,12,试为这5个字母设计哈夫曼树并写出对应的哈夫曼编码。(构建新二叉树时,要求新二叉树的左子树根的权值小于等于右子树根的权值。)
【正确答案】:
【答案】构建的哈夫曼树:
各字符的编号为:
a:00;b:01;c:100;d:101;e:11
解析:哈夫曼树构造:权值最小的两个结点构建新结点。
哈夫曼编码:左0右1。
上一篇:
写出直接插入排序算法。
下一篇:
下图所示为一有向图,试给出该图的邻接表表示及对该图进行拓扑排序的各种可能的拓扑序列。