首页
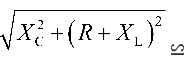
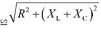
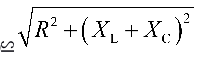
在R、L、C串联电路中,复数阻抗的模Z=( )。
2023-11-10 01:33:03
鉴定题库-电力电缆工中级工试题
在R、L、C串联电路中,复数阻抗的模Z=( )。
A.
B.
C.
D.
正确答案是C
上一篇:
不能用来作为交联电缆真空去潮的干燥介质为( )。
下一篇:
电力系统发生短路故障时,其短路电流为( )。