某工程施工现有两个对比的技术方案,方案1需投资200万元,年生产成本120万元;方案2与方案1应用环 境相同的情形下,需投资3

某工程施工现有两个对比的技术方案,方案1需投资200万元,年生产成本120万元;方案2与方案1应用环 境相同的情形下,需投资300万元,年生产成本100万元。设基准投资收益率为10%,采用增量投资收益率法选 择方案,正确的有( )。
A、方案2与方案1相比,增量投资收益率为10%
B、方案2与方案1相比,在经济上可行。
C、当基准投资收益提高为15%时,方案2优于方案1
D、方案2比方案1投资高出50%,超过基准收益率,经济上不可行
E、当基准投资收益率降低为8%时,方案1优于方案2
【正确答案】:BC
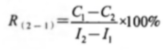
【题目解析】: R(2-1)=(120-100)/(300-200)=20%,当R(2-1)大于或等于基准投资收益率时,表明新方案是可行的。