首页
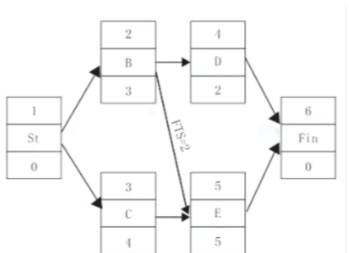
某单代号搭接网络计划如下图(时间单位:天),其时间参数正确的有( )。
2024-11-09 10:56:12
建设工程项目管理【新版】
某单代号搭接网络计划如下图(时间单位:天),其时间参数正确的有( )。
A、TFc=1
B、FFB=2
C、LSD=8
D、LSE=5
E、LFc=5
【正确答案】:ACDE
上一篇:
对某模板工程进行抽样检查,发现在表面平整度、截面尺寸、平面水平度、垂直度和标高等方面存在质量 问题。按照排列图法进行统计分析,上
下一篇:
关于安全技术交底要求的说法,正确的有( )。