首页
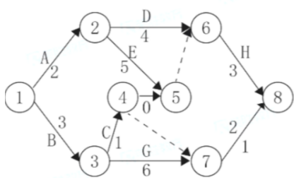
某双代号网络计划如下图所示,存在的不妥之处是( )。
2024-11-09 10:54:46
建设工程项目管理【新版】
某双代号网络计划如下图所示,存在的不妥之处是( )。
A、
有多个起点节点
B、
工作表示方法不一致
C、
节点编号不连续
D、
有多余时间参数
【正确答案】:B
上一篇:
关于投标申请人资格预审的说法,正确的是( )。
下一篇:
根据《建筑施工组织设计规范》,主持编制施工组织设计的应是( )。