首页
2024-11-09 10:07:03
高等数学二(专升本)
A、2
B、4
C、8
D、16
【正确答案】:D
【题目解析】:
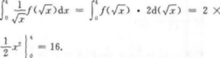
【考情点拨】本题考查了定积分的换元积分法的知识点.【应试指导】解法1:
解法2:
上一篇:
下一篇: