首页
2024-11-09 10:06:51
高等数学二(专升本)
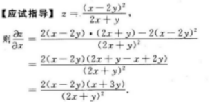
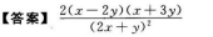
【正确答案】:
【考情点拨】本题考查了二元函数的一阶偏导数的知识点.
上一篇:
下一篇: