首页
2024-11-09 10:06:48
高等数学二(专升本)
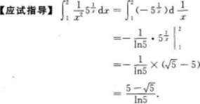
【正确答案】:
【考情点拨】本题考查了定积分的换元积分法的知识点.
上一篇:
下一篇: