首页
2024-11-09 09:53:43
高等数学一(专升本)
A、A
B、B
C、C
D、D
【正确答案】:B
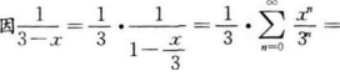
【题目解析】:
【考情点拨】本题考查了函数展开为幂级数的知识点.【应试指导】
上一篇:
下列反常积分收敛的是( )
下一篇: