首页
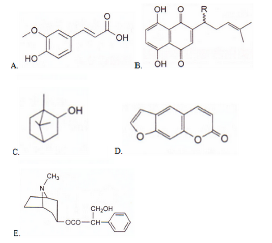
属于醌类化合物的是( )。
2023-11-02 22:48:50
中药学专业知识(一)
属于醌类化合物的是( )。
A.A
B.B
C.C
D.D
E.E
正确答案是B
上一篇:
用于区别苯醌和萘醌的反应是( )。
下一篇:
《中国药典》规定,以二苯乙烯苷和结合菌醌为指标成分进行含量测定的药材是( )。