首页
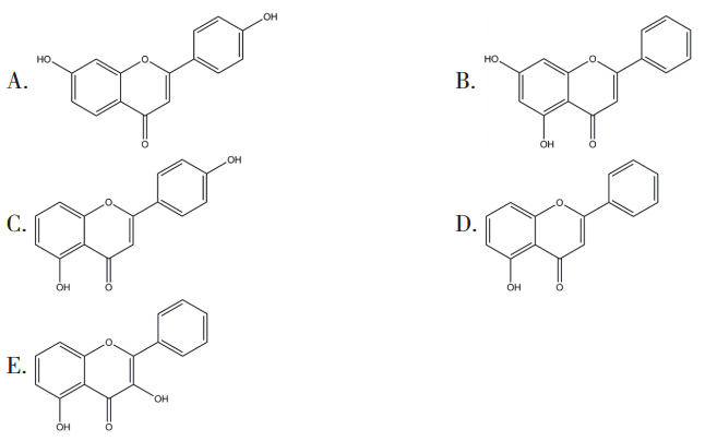
酸性最弱的化合物是( )。
2023-11-02 22:48:49
中药学专业知识(一)
酸性最弱的化合物是( )。
A.A
B.B
C.C
D.D
E.E
正确答案是D
上一篇:
穿心莲中主要化学成分的结构类型是( )。
下一篇:
<p>酸性最强的化合物是( )。<br><img title="" alt="" width="575" height="359