首页
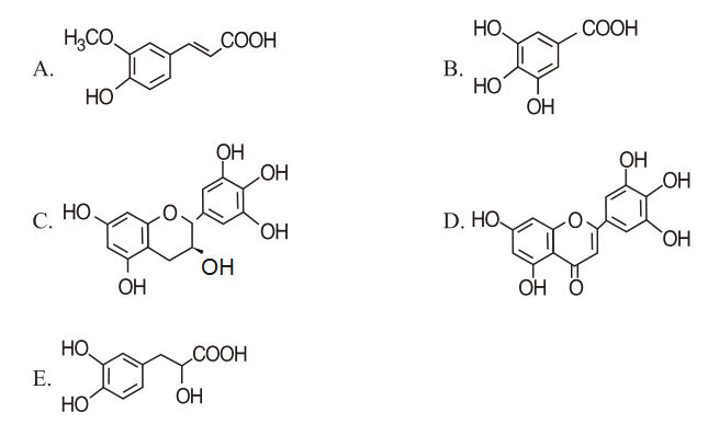
组成缩合鞣质的基本单元是( )。
2023-11-02 22:48:48
中药学专业知识(一)
组成缩合鞣质的基本单元是( )。
A.A
B.B
C.C
D.D
E.E
正确答案是C
上一篇:
<p>内含咖啡酸和奎宁酸结构片段,有抗菌作用的化合物是( )。<img title="" alt="" src="https:/
下一篇:
含有麝香酮的是( )。