首页
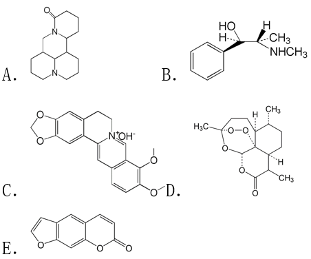
含季铵碱结构单元,为黄连主要成分的是( )。
2023-11-02 22:48:41
中药学专业知识(一)
含季铵碱结构单元,为黄连主要成分的是( )。
A.A
B.B
C.C
D.D
E.E
正确答案是C
上一篇:
<p>含内酯结构单元,为补骨脂主要成分的是( )。<img title="" alt="" src="https://learn
下一篇:
在产地加工过程中,应“发汗”处理的药材是( )。