首页
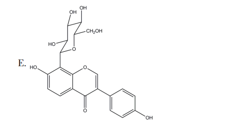
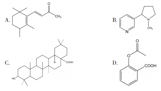
处方中葛根解肌退热,其主要成分葛根素的结构是( )。
2023-11-02 22:48:32
中药学专业知识(一)
处方中葛根解肌退热,其主要成分葛根素的结构是( )。
A.A
B.B
C.C
D.D
E.E
正确答案是E
上一篇:
处方中,含有三萜皂苷类成分,且具有解热、抗炎、抗病毒和保肝作用的饮片是( )。
下一篇:
处方调配复核,见有表面黑褐色,切面外侧棕褐色,木部黄白色,有的可见放射状纹理,气香的饮片是( )。