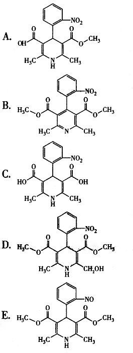
二氢吡啶类药物硝苯地平遇光极不稳定,发生光催化的歧化反应,生成硝基苯吡啶衍生物和有毒的亚硝基苯吡啶衍生物,故要避光保存和使用。硝苯地平可能生成的光化产物是( )。
A.A
B.B
C.C
D.D
E.E
正确答案是B
二氢吡啶类药物硝苯地平遇光极不稳定,发生光催化的歧化反应,生成硝基苯吡啶衍生物和有毒的亚硝基苯吡啶衍生物,故要避光保存和使
二氢吡啶类药物硝苯地平遇光极不稳定,发生光催化的歧化反应,生成硝基苯吡啶衍生物和有毒的亚硝基苯吡啶衍生物,故要避光保存和使用。硝苯地平可能生成的光化产物是( )。
A.A
B.B
C.C
D.D
E.E
正确答案是B