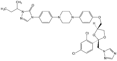
伊曲康唑的化学结构如下,关于其结构特点和应用说法,错误的是( )。
A.代谢产物羟基伊曲康唑的活性比伊曲康唑低
B.具有较强的脂溶性和较高的血浆蛋白结合率
C.分子中含有1,2,4-三氮唑和1,3,4-三氮唑结构
D.具有较长的半衰期,t1/2约为21小时
E.可用于治疗深部和浅表真菌感染
正确答案是A
伊曲康唑的化学结构如下,关于其结构特点和应用说法,错误的是( )。
伊曲康唑的化学结构如下,关于其结构特点和应用说法,错误的是( )。
A.代谢产物羟基伊曲康唑的活性比伊曲康唑低
B.具有较强的脂溶性和较高的血浆蛋白结合率
C.分子中含有1,2,4-三氮唑和1,3,4-三氮唑结构
D.具有较长的半衰期,t1/2约为21小时
E.可用于治疗深部和浅表真菌感染
正确答案是A