首页
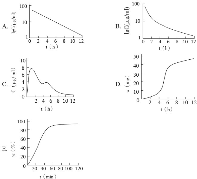
具有肠-肝循环特征的某药物血管外给药,其血液浓度的时间-曲线表现为( )。
2023-11-02 22:45:52
药学专业知识(一)
具有肠-肝循环特征的某药物血管外给药,其血液浓度的时间-曲线表现为( )。
A.A
B.B
C.C
D.D
E.E
正确答案是C
上一篇:
<p>含有氧桥结构,中枢作用较强,用于预防和治疗晕动症的药物是( )。<img title="" alt="" src="htt
下一篇:
<p>具有双室模型特征的某药物静脉注射给药,其血液浓度时间-曲线表现为( )。<img title="" alt="" widt