首页
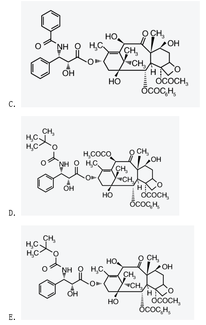
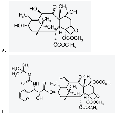
根据构效关系判断,属于多西他赛结构的是( )。
2023-11-02 22:45:51
药学专业知识(一)
根据构效关系判断,属于多西他赛结构的是( )。
A.A
B.B
C.C
D.D
E.E
正确答案是E
上一篇:
下列药物在体内发生生物转化反应,属于第Ⅰ相反应的有( )。
下一篇:
紫杉醇注射液中通常含有聚氧乙烯蓖麻油,其作用是( )。