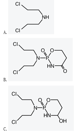
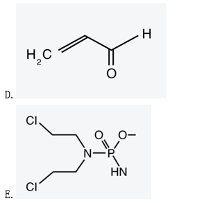
环磷酰胺
为前体药物,需经体内活化才能发挥作用,经过氧化生成4-羟基环磷酰胺,进一步氧化生成无毒的4-酮基环磷酰胺,经过互变异构生产开环的醛基化合物。在肝脏进一步氧化生成无毒的羧酸化合物,而肿瘤组织中因缺乏正常组织所具有的酶不能代谢。非酶促反应β-消除生成丙烯醛和磷酰氮芥,磷酰氮芥及其他代谢产物都可经非水酶水解生成去甲氮芥,环磷酰胺在体内代谢的产物有( )。

A.A
B.B
C.C
D.D
E.E
正确答案是ABCDE
环磷酰胺
环磷酰胺
为前体药物,需经体内活化才能发挥作用,经过氧化生成4-羟基环磷酰胺,进一步氧化生成无毒的4-酮基环磷酰胺,经过互变异构生产开环的醛基化合物。在肝脏进一步氧化生成无毒的羧酸化合物,而肿瘤组织中因缺乏正常组织所具有的酶不能代谢。非酶促反应β-消除生成丙烯醛和磷酰氮芥,磷酰氮芥及其他代谢产物都可经非水酶水解生成去甲氮芥,环磷酰胺在体内代谢的产物有( )。

A.A
B.B
C.C
D.D
E.E
正确答案是ABCDE