神经氨酸酶是存在于流感病毒表面的糖蛋白,为抗病毒药物的作用靶点。神经氨酸酶可以切断神经氨酸与糖蛋白的连接,释放出病毒复制的关键物质唾液酸(神经氨酸),此过程如下图所示。
神经氨酸酶抑制剂能有效阻断流感病毒的复制过程,发挥防治流感作用。从结构判断,具有抑制神经氨酸酶活性的药物是( )。
A.A
B.B
C.C
D.D
E.E
正确答案是D
神经氨酸酶是存在于流感病毒表面的糖蛋白,为抗病毒药物的作用靶点。神经氨酸酶可以切断神经氨酸与糖蛋白的连接,释放出病毒复制的
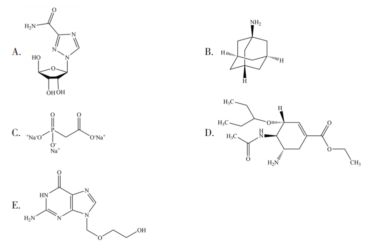
神经氨酸酶是存在于流感病毒表面的糖蛋白,为抗病毒药物的作用靶点。神经氨酸酶可以切断神经氨酸与糖蛋白的连接,释放出病毒复制的关键物质唾液酸(神经氨酸),此过程如下图所示。
神经氨酸酶抑制剂能有效阻断流感病毒的复制过程,发挥防治流感作用。从结构判断,具有抑制神经氨酸酶活性的药物是( )。
A.A
B.B
C.C
D.D
E.E
正确答案是D