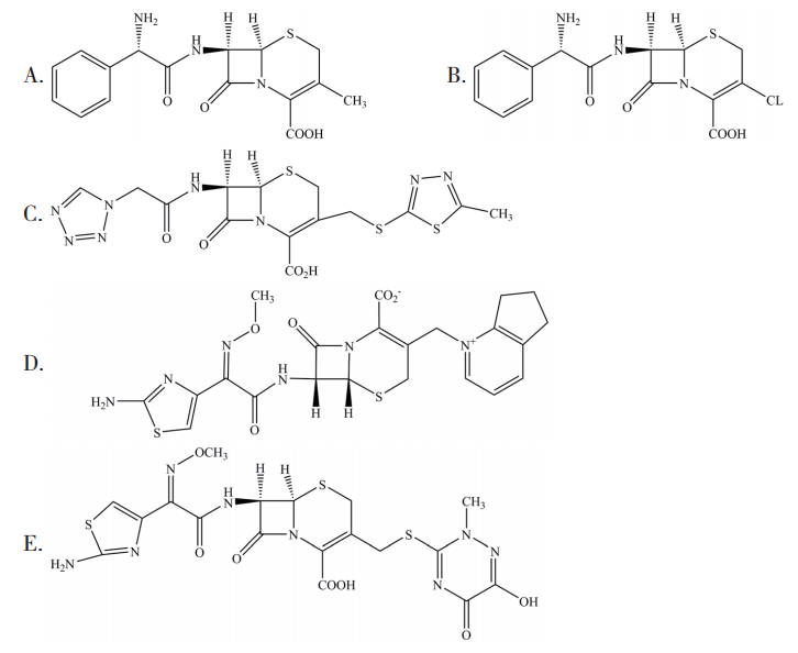
第三代头孢菌素在7-位的氨基侧链上以2-氨基噻唑-α甲氧亚氨基乙酰基居多,对多数β-内酰胺酶高度稳定,属于第三代头孢菌素的药物是( )。
A.A
B.B
C.C
D.D
E.E
正确答案是E
第三代头孢菌素在7-位的氨基侧链上以2-氨基噻唑-α甲氧亚氨基乙酰基居多,对多数β-内酰胺酶高度稳定,属于第三代头孢菌素的
第三代头孢菌素在7-位的氨基侧链上以2-氨基噻唑-α甲氧亚氨基乙酰基居多,对多数β-内酰胺酶高度稳定,属于第三代头孢菌素的药物是( )。
A.A
B.B
C.C
D.D
E.E
正确答案是E