首页
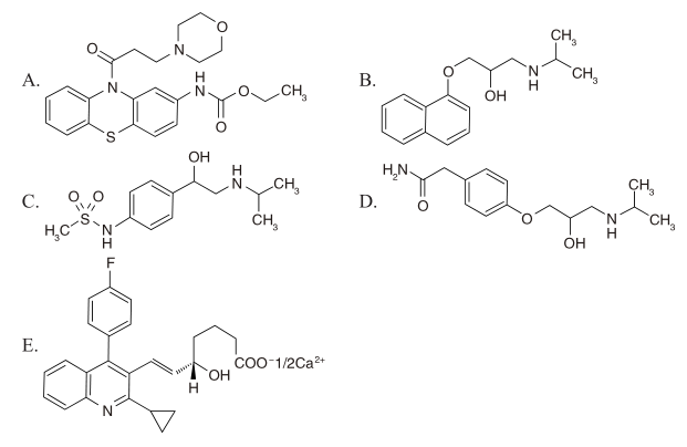
β受体阻断药的代表,属于芳氧丙醇胺类结构类型。普萘洛尔的机构是( )。
2023-11-02 22:45:46
药学专业知识(一)
β受体阻断药的代表,属于芳氧丙醇胺类结构类型。普萘洛尔的机构是( )。
A.A
B.B
C.C
D.D
E.E
正确答案是B
上一篇:
胰岛细胞上的β受体属于β<sub>2</sub>亚型。根据肾上腺素受体的功能分析,对于合并糖尿病的室上性心动过速患者,宜选用的抗
下一篇:
人体中,心房以β<sub>1</sub>受体为主,但同时含有四分之一的β<sub>2</sub>受体,肺组织β<sub>1</s