某公司于2017年5月1日发行一面值为1000元的债券,票面利率为8%,2022年4月30日到期。甲投资者拟于2020年4月1日购买该债券。 要求:(1)如果该债券每年5月1日支付一次利息,假设年折现率为10%。计算2020年4月1日的债券价值。 要求:(2)如果该债券每年5月1日和11月1日支付两次利息,假设年折现率为10.25%。计算2020年4月1日的债券价值。
1.
2020年4月1日价值是:
2.半年期折现率=(1+10.25%)^(1/2)-1=5%
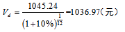
2020年5月1日价值是:
40+40×(P/A,5%,4)+1000×(P/F,5%,4)=1004.54(万元)
2020年4月1日价值是:
