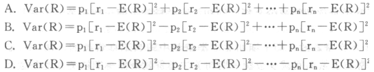
资产收益率的不确定性就是风险的集中体现,而风险的大小可以由未来收益率与预期收益率的偏离成都来反映。假设资产的未来收益率有n种可能的取值r1,r2,…,rn,每种收益率对应出现的概率为pi,收益率r的第i个取值的偏离程度用[ri-E(R)]2来计算,则资产的方差Var(R)为( )。
A.A
B.B
C.C
D.D
正确答案是A
资产收益率的不确定性就是风险的集中体现,而风险的大小可以由未来收益率与预期收益率的偏离成都来反映。假设资产的未来收益率有n
资产收益率的不确定性就是风险的集中体现,而风险的大小可以由未来收益率与预期收益率的偏离成都来反映。假设资产的未来收益率有n种可能的取值r1,r2,…,rn,每种收益率对应出现的概率为pi,收益率r的第i个取值的偏离程度用[ri-E(R)]2来计算,则资产的方差Var(R)为( )。
A.A
B.B
C.C
D.D
正确答案是A